left
right
  • Home
  • Publisher Home
  • About the Journal
  • Contact Us
left
right
  • Editorial Policies
  • Reviewer Guidelines
  • Publishing Ethics
  • Self Archiving Policies
  • Special Fee Waivers and Discounts
  • Corporate Memberships
  • Articles
  • Abstracts
  • Issues
  • RESEARCH ARTICLE

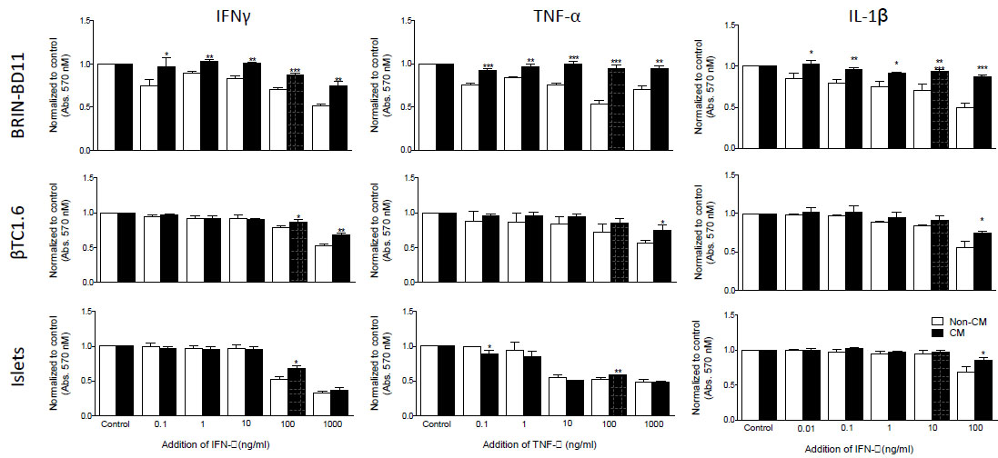
    The Secretome of Mesenchymal Stem Cells Prevents Islet Beta Cell Apoptosis via an IL-10-Dependent Mechanism

    Buthainah Al-Azzawi, Declan H. McGuigan, Fiona N. Manderson Koivula, Ajile Elttayef, Tina P. Dale, Ying Yang, Catriona Kelly and Nicholas R. Forsyth

    The Open Stem Cell Journal, 2020; 6: 1.
    Electronic Publication Date: March 20, 2020
    View Abstract View Fulltext HTML Download PDF Download ePub
      • Published Contents

        • Volume 6, 2020
        • Volume 5, 2018
        • Volume 4, 2013
        • Volume 3, 2011
        • Volume 2, 2010
        • Volume 1, 2009
      • About the Journal

        The Open Stem Cell Journal

        ISSN: 1876-8938
        Volume: 6, 2020

        Download Flyer